课程介绍
郑民生弟子胡大军盲派命理秘诀:《秘传十排歌,八字,十二道门绝技》电子书PDF(九鼎易学)
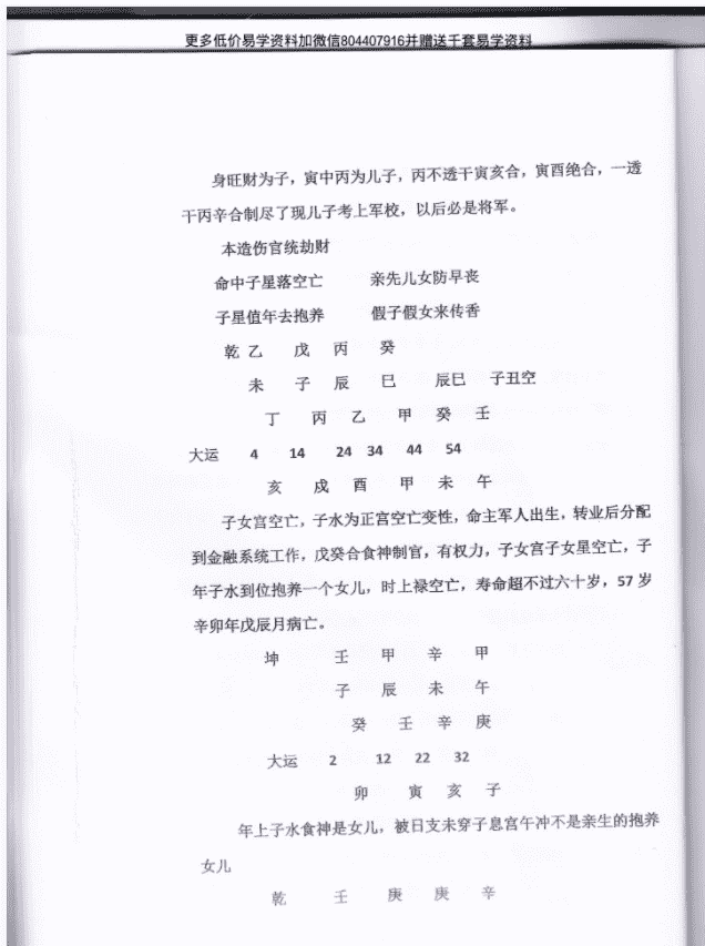
课程截图


课程目录


资源下载
下载价格10 九鼎币
VIP免费
请先登录推荐注册购买,售后有保障,注册即送3九鼎币
购买与下载任何问题请联系微信:804407916
❶课程如何购买 ❷VIP办理会员 ❸成为会员有什么好处
充值优惠!充120送30九鼎币,充240送88九鼎币,充360送140九鼎币
购买与下载任何问题请联系微信:804407916
❶课程如何购买 ❷VIP办理会员 ❸成为会员有什么好处
充值优惠!充120送30九鼎币,充240送88九鼎币,充360送140九鼎币
原文链接:https://www.jdyx6.com/2023/04/30/4778/.html,转载请注明出处。


评论0